ÁREA: Química Orgânica
TÍTULO: SÍNTESE E CARACTERIZAÇÃO DE NOVOS DERIVADOS TIADIAZÓLICOS
AUTORES: Silva, M.V. (INSTITUTO MILITAR DE ENGENHARIA) ; Aguiar, A.P. (INSTITUTO MILITAR DE ENGENHARIA)
RESUMO: Neste trabalho foram sintetizados novos derivados 2-amino-5-aril-1,3,4-tiadiazóis,
inicialmente através da ciclização oxidativa de tiossemicarbazona, seguido pela
formação de um derivado ácido âmico, a partir da reação entre 2-amino-5-aril-
1,3,4-tiadiazol e o anidrido malêico, em dioxano, a temperatura ambiente durante
48 horas. Foram obtidos heterociclos 1,3,4-tiadiazóis 3,5-dissubstituídos como
produto principal em rendimento de 20-30%. Os produtos foram purificados por
recristalização e caracterizados por FTIR e RMN 1H e 13C.
PALAVRAS CHAVES: 1,3,4-tiadiazol; tiossemicarbazona; síntese
INTRODUÇÃO: Compostos heterocíclicos são anéis constituídos por átomos de carbono e um ou
mais heteroátomos, e estão presentes em diferentes tipos de compostos orgânicos,
os quais podem apresentar diferentes bioatividades (PATEL, 2012). Os
heteroátomos mais freqüentemente encontrados são enxofre, nitrogênio e oxigênio.
Dentre os sistemas heterocíclicos pode-se destacar o sistema 1,3,4-tiadiazol,
que vem sendo alvo de diferentes estudos em química medicinal, o qual apresenta
uma diversificada bioatividade, por exemplo: antimicrobiana, antifúngica,
antiinflamatória, antihipertensiva e antiprotozoária (AHMAD, 2012). Embora este
sistema heterocíclico venha sendo sistematicamente investigado, a síntese de
núcleos tiadiazólicos contendo um grupamento ácido âmico como substituinte vêm
sendo pouco reportada(FILHO, 2003; SAHOO, 2003). Assim sendo, este trabalho tem
como objetivo a síntese de novos derivados 2-amino-5-aril-1,3,4-tiadiazol com
potencial bioatividade, a qual será posteriormente avaliada frente a diferentes
microorganismos.
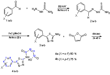
MATERIAL E MÉTODOS: A síntese dos ácidos âmicos 4a-b foi conduzida através da metodologia apresentada
na Figura 1. O tratamento dos aldeídos monossubstituídos 1a-b com
tiossemicarbazida produziu os intermediários tiossemicarbazonas 2a-b, os quais
após a reação com o cloreto férrico forneceram os respectivos derivados cíclicos
1,3,4-tiadiazóis 3a-b. A reação destes intermediários com excesso de anidrido
malêico à temperatura ambiente com agitação por 24 - 48 h produziu os derivados
4a-b. As reações foram acompanhadas por cromatografia de camada delgada (CCD),
utilizando como eluente hexano / acetato de etila (3:7), e os compostos obtidos
foram purificados por recristalização em uma mistura de água/etanol. Todos os
produtos foram caracterizados por FTIR e RMN 1H e 13C.
RESULTADOS E DISCUSSÃO: A seleção de benzaldeídos halogenados foi fundamentada no fato que trabalhos
anteriores do grupo de pesquisa demonstraram que heterociclos contendo tais
substituintes forneceram compostos bioativos (MAGALHÃES, 2005; AMIR, 2004). O
processo de ciclização oxidativa de tiossemicarbazona conduziu a formação
seletiva de tiadiazóis com substituintes nas posições 3 e 5. Os compostos
sintetizados obtiveram espectros semelhantes, sendo apenas distinguidos pela
diferenciação do padrão de substituição do anel aromático. Tentativas de
otimização reacional vem sendo conduzidas, quer seja pelo aumento do tempo
reacional, utilização de forno microondas ou mesmo pela diferença de
temperaturas reacionais. Após a purificação, todos os compostos foram
caracterizados por espectroscopia de ressonância magnética nuclear de 1H e 13C e
espectroscopia de infravermelho, onde: 4a -FT-IR 3276cm-1(NH), 3089cm-1(=C-H),
1635cm-1(C=N), 3450cm-1(COOH), 3100 cm-1(CONH), 1710cm-1(-C=O, ácido), 1649cm-
1(-C=O, amida), 1542cm-1(-C=C); RMN-1H δ 7,6-8,9(H-Ar); RMN-13C δ 168(C1), δ
156(C2), δ 164(C9), δ 166(C12) ; 4b -FT-IR 3271cm-1(NH2), 3082cm-1(=C-H),
1627cm-1(C=N), 3500cm-1(COOH), 3075cm-1(CONH), 1700cm-1(-C=O, ácido), 1655cm-1(-
C=O, amida), 1540cm-1(-C=C); RMN-1H δ 7,3-8,8(H-Ar); RMN-13C δ 170(C1), δ
154(C2), δ 164(C9), δ 167(C12).
Figura 1

Metodologia geral para síntese dos derivados 1,3,4-
tiadiazóis dissubstituídos.
CONCLUSÕES: A metodologia utilizada neste trabalho demonstrou ser eficiente, sendo os
derivados tiadiazólicos 4a-b sintetizados em bons rendimentos. Todos os compostos
obtidos são inéditos no âmbito da literatura pesquisada.
AGRADECIMENTOS: Os autores agradecem ao CNPq, a CAPES e a FAPERJ pelo apoio financeiro.
REFERÊNCIAS BIBLIOGRÁFICA: PATEL, M. B.; MODI, N.R.; RAVAL, J. P.; MENON, S.K.; Calix[4]arene based 1,3,4-oxadiazole and thiadiazole derivatives: Design, synthesis, and biological evaluation. Org. Biomol. Chem., 10, p.1785, 2012.
AHMAD, T.; SINGH, A. K.; JAISWAL, N.; SINGH D.; Synthesis and pharmacological activity of 1,3,4-thiadiazole derivatives: a review. International Research Journal of Pharmacy, 3, p.3, 2012.
GEETA, M.; ARVIND, K. S.; KSHTIZ, J.; Review article on 1, 3, 4-Thiadiazole derivaties and it’s Pharmacological activities, International Journal of ChemTech Research, 3, p1380, 2011.
FILHO, V. C.; CAMPOS, F; CORREA, R., YUNES, R. A.; NUNES, R. J.; Aspectos químicos e potencial terapêutico de imidas cíclicas: uma revisão da literature. Quim Nova, 26, p.230, 2003.
SAHOO, M. K.; MHASKE, S. B.; ARGADE, N. P.; Facile Routes to Alkoxymaleimides/Maleic Anhydrides.
Synthesis, 3, p.346, 2003.
MAGALHÃES, N. C. A.; Síntese de 1,3,4-tiadiazóis 2,5-dissubstituídos com potencial bioatividade. Dissertação de mestrado. Instituto Militar de Engenharia, 2005.
AMIR, M.; SHIKHA, K.; Synthesis and anti-inflammatory, analgesic, ulcertogenic and lipid peroxidation activities of some new 2-[(2,6-dichloroanilino)phenyl]acetic acid derivatives. European Journal of
Medicinal Chemistry, 39, p.535-545, 2004.
