ISBN 978-85-85905-10-1
Área
Química Orgânica
Autores
Moraes, M.I. (UFPI) ; Soares, S.H. (UFPI) ; Matos, J.M.E. (UFPI) ; Vieira, E.C. (UFPI) ; Machado, L.L. (UFOB) ; Santos, A.K.L. (UFCA)
Resumo
Dentre as diversas áreas biotecnológicas, a aplicação de processos enzimáticos é uma das alternativas mais promissoras para a substituição de metodologias convencionais (GONÇALVES, 2013). De forma que a Biocatálise encontra-se cada vez mais sendo utilizada na indústria química (OMORI, 2012).Para as biotransformações foi utilizado como biocatalizador sementes de girassol e como substratos o benzaldeído (1) e o 4-metóxibenzaldeído (2), obtendo seus álcoois correspondentes. As sementes de girassol mostram-se bastante seletiva, mas com uma conversão moderada, 70% para o 4-metóxibenzaldeído. Quanto à redução do benzaldeído, apresenta uma excelente conversão, de 86%.
Palavras chaves
biocatálise; benzaldeído; girassol
Introdução
As enzimas, biocatalisadores naturais, são utilizadas nas biocatálises, as quais realizam transformações químicas em compostos orgânicos. Onde esses processos enzimáticos ou microbiológicos têm vantagens quando comparados aos processos químicos convencionais, tais como, possibilidade de operação em condições brandas de temperatura, pH e pressão, o que representa uma grande vantagem econômica e ambiental (PATEL,2002) . A principal vantagem do uso da biocatálise na química é a sua aplicação para a obtenção de compostos quirais, ou seja, na produção de substâncias enantiomericamente puras (GONÇALVES, 2013). O girassol ou mirassol (Helianthus annuus), possui cerca de 0,6 à 3,0 metros de altura em um ciclo anual com sol pleno, florescendo em áreas de climas equatorial, mediterrâneo, subtropical, temperado e tropical, é uma planta nativa da América (MORETI, 1996). O presente trabalho teve como objetivo, realizar biorredução enzimática com os biocatalizadores das sementes de girassol, mostrando que as reações desse processo são rotas importantes para a geração de álcoois, com menores custos e impactos ambientais.
Material e métodos
A metodologia empregada foi adaptada de literatura (FONSECA, 2009; MACHADO,L.L. et al,2006; BERTINE, L .M. et al,2012). Nos experimentos foram utilizados 23 g de material vegetal, sementes de girassol como biocatalizador, em solução aquosa, juntamente com os substratos benzaldeído e 4-metóxibenzaldeído, 200 mg cada. Os mesmos foram agitados em Shake (150 rpm) durante 72h. As amostras foram filtradas, extraídas com AcOEt, secas com sulfato de sódio anidro e evaporado até secura com rota-evaporador rotativo. As amostras obtidas foram purificadas por coluna de gel de sílica e analisadas em CCD e quantificadas por CG/EM.
Resultado e discussão
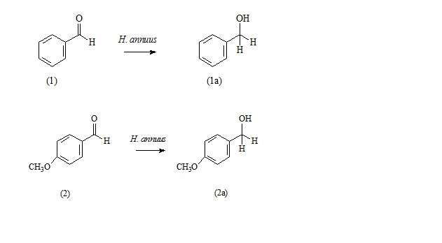
Para as biotransformações foram utilizados como substratos a benzaldeído (1) e o
4-metóxibenzaldeído (2), obtendo seus álcoois correspondentes (Esquema 1). Em
todas as reações foram utilizadas células íntegras das sementes de girassol. A
conversão foi determinada por CG/EM, os resultados são apresentados na Tabela 1.

Esquema 1:Esquema das biotransformações utilizando células íntegras de girassol

Tabela 1: Resultados das biotransformações do benzaldeído e 4-metóxibenzaldeído
Conclusões
As sementes de girassol (Helianthus annuus) apresenta-se como um bom biocatalisador, cujas enzimas atuam nas biotransformações, mais especificamente as biorreduções, pois produziu os álcoois 1a com 86% de conversão e 2a com 70% de conversão. Dessa forma, as sementes de girassol mostram-se bastante seletiva, mas com uma conversão moderada para o 4-metóxibenzaldeído e quanto à redução do benzaldeído, apresenta uma excelente conversão.
Agradecimentos
Referências
BERTINE, L .M. et al. Soybean (Glycine max) as a versatile biocatalyst for organic synthesis. African Journal of Biotechnology, v. 11(30), p. 7766-7770, 2012.
FONSECA, A. M. et al. Coconut water (Cocos nucifera L.)—A new biocatalyst system for organic synthesis. Journal of Molecular Catalysis B: Enzymatic. v. 57, p. 78, 2009.
GONÇALVES, C. C. S.; MARSAIOLI, A. J. Fatos e Tendências da Biocatálise. Química Nova, v.36, p. 1587-1590, 2013.
MACHADO, L. L.; SOUZA, J. S. N.; MATTOS, M. C.; SAKATA, S. K.; CORDELL, G. A.; LEMOS, T. L. G. Bioreduction of aldehydes and ketones using Manihot species. Phytochemistry, v. 67, p. 1637-1643, 2006.
MORETI, A. C. C. C. et al. Aumento na produção de sementes de girassol (Helianthus annuus) pela ação de insetos polinizadores. Scientia Agrícola, v. 53, p. 2-3, 1996.
OMORI, T. A; PORTAS, B. V; OLIVEIRA, S. C. Redução enzimática do 4-(dimetilamino)benzaldeído com pedaços de cenoura (Daucus carota): Um experimento simples na compreensão da biocatálise. Química Nova, v. 35. p. 435-437,2012.
PATEL, R. N. Microbial/enzymatic synthesis of chiral intermediates for pharmaceuticals. Enzyme and Microbial Technology, v. 31, p.804-826, 2002.









