ISBN 978-85-85905-10-1
Área
Iniciação Científica
Autores
Rocha, S.M. (UFPI) ; Furtado, N.J.S. (UFPI) ; Junior, E.F.R. (UFPI) ; Rosa, A.P.A. (UFPI) ; Aquino, T.P.B. (UFPI) ; Magalhães, J.L. (UFPI)
Resumo
Este trabalho teve como objetivo o estudo do comportamento eletroquímico do filme LbL ITO-(PAH/PTK) do derivado de perileno (PTK). Avaliou-se alguns parâmetros, tais como: variação da velocidade varredura e estabilidade eletroquímica. Esse filme LbL apresenta processos de oxidação e redução próximos à 0,0952 V e -0,0188 V, respectivamente. Com o aumento da velocidade de varredura houve um deslocamento dos potenciais de oxidação e redução, como esperado para processos irreversíveis. Além disso, esse filme é estável na superfície do ITO, pois após 25 ciclos de varredura, os processos eletroquímicos não sofreram variações significativas. Portanto, as características eletroquímicas apresentadas pelo filme LbL ITO- (PAH/PTK) garantem sua posterior aplicabilidade como sensores eletroquímicos.
Palavras chaves
Derivados de perileno; Filmes LbL; processos eletroquímicos
Introdução
O dianidrido 3,4,9,10-perileno tetracarboxílico (PTD) é uma substância orgânica que apresenta dois grupos anidrido e várias ligações pi conjugadas, o que lhe confere característica de luminescência. O PTD possui propriedades eletroativas desde que esteja polarizado. Nesse caso, a polarização pode ser obtida na forma do seu sal. O sal de tetrapotássio-3,4,9,10-tetracarboxílico perileno (PTK) é um derivado solúvel do PTD obtido através da reação deste com hidróxido de potássio (CORDES, et al. 2005). Há estudos na literatura que discutem a interação entre o PTK e albuminas no transporte de medicamentos pelo corpo (NAVEENRAJ, et al., 2012). Outros estudos discutem a utilização do sal de dipotássio derivado do PTD sobre substrato ITO para aplicação em células solares (VERCELLI; ZOTTI, 2012). Porém, não se tem relatos sobre o uso do PTK em sensores eletroquímicos de filmes aumontados LbL (Layer-by-layer). A investigação detalhada desse sistema pode contribuir no desenvolvimento de metodologias eletroquímicas e eletroanalíticas para determinação de diversos analitos. A técnica de automontagem LbL é proposta como vantajosa devido ao baixo custo, reprodutibilidade, fácil manipulação e etc. Nessa técnica o filme é formado através de interações eletrostáticas entre o polieletrólito catiônico e uma espécie química aniônica (SANTOS, et al., 2010). Sobre estas bases se fundamenta o presente trabalho, em que se objetiva compreender o comportamento eletroquímico do filme LbL ITO-(PAH/PTK).
Material e métodos
As medidas de voltametria cíclica foram realizadas no Potenciostato Autolab (AUT84035) associado a um computador com o software NOVA 1.9 para obtenção dos voltamogramas. A célula eletroquímica era formada por 5 aberturas, onde foram colocados o eletrodo de referência (calomelano saturado), o de trabalho ITO- (PAH/PTK) e o auxiliar (fio de platina), uma entrado de gás nitrogênio (N2) e saída de gás oxigênio (O2). Usou-se KCl (0,1 mol∙L-1) como eletrólito de suporte em todas as medidas eletroquímicas. A montagem do filme LbL ITO-(PAH/PTK) se deu através dos seguintes procedimentos: inicialmente uma placa de ITO foi imersa numa solução ácida (pH 2,5) de polieletrólito catiônico (hidrocloreto de polialilamina–PAH) a 0,5 g∙L- 1 por 7 minutos, seguida de lavagem em HCl, pH = 2,5 por 10 s, logo após foi realizada a secagem em fluxo de N2. Feito isso, o substrato foi imerso numa solução aquosa de PTK também a 0,5 g∙L-1 por 7 minutos, passando por uma nova lavagem em água ultra pura e secagem com N2. Este procedimento resulta na formação de uma bicamada do filme, e foi repetido até a obtenção do número de bicamadas desejadas. Para compreender o comportamento eletroquímico do filme foram avaliados dois parâmetros: estabilidade e variação da velocidade de varredura. A estabilidade foi avaliada através da aplicação de 25 ciclos de varredura do potencial na janela de compreendida entre -0,1 a 0,2 V, à 50 mV∙s-1. O estudo da variação da velocidade de varredura foi realizado na mesma janela de potencial descrita anteriormente e nas seguintes velocidades: 25, 50, 100, 150 e 200 mV∙s-1.
Resultado e discussão
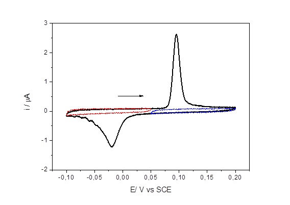
A aplicação do primeiro ciclo de varredura de potencial permitiu a evidência de
um par de ondas voltamétricas que está relacionado aos processos eletroquímicos
do filme LbL ITO-(PAH/PTK). Observou-se que os processos de oxidação e redução
são dependentes (Figura 1) e próximos à 0,0952 e -0,0188 V, respectivamente.
Estudou-se a influência da variação da velocidade de varredura sobre os
processos eletroquímicos do filme e notou-se que o aumento da velocidade de
varredura acarreta um aumento na intensidade de corrente, como pode ser visto na
Figura 2. Além disso, pode-se observar deslocamento dos potenciais de oxidação
para valores mais positivos (anódicos) e potenciais de redução para valores mais
negativos (catódicos), o que são características de processos eletroquímicos
irreversíveis (BARD; FAULKNER, 2001).
A irreversibilidade do filme pode ser comprovada, pois a diferença entre os
potenciais de pico anódico e catódico aumenta à medida que a velocidade de
varredura aumenta.
Estudou-se também a estabilidade do filme e verificou-se que a aplicação de 25
ciclos de varredura do potencial na faixa comprendida entre -0,1 a +0,2 V
manteve as correntes faradáicas praticamente constantes, o que evidencia uma
alta estabilidade dos processos eletroquímicos do filme, sendo isso uma
caracteristica importante, tendo em vista a aplicação desse filme como sensor
eletroquimico para determinação de analitos.

Figura 1- Dependência dos processos eletroquímicos do filme LbL ITO-(PAH/PTK) com 4 bicamadas, obtidos em KCl (0,1 mol L-1) a 50 mV s -1

Figura 2- Voltamogramas com 4 bicamadas do filme LbL ITO-(PAH/PTK) em KCl (0,1 mol L-1), nas velocidades de varredura: 25, 50, 100, 150 e 200 mV s -1
Conclusões
O filme apresenta um processo eletroquímico irreversivel de oxidação e outro de redução, mas ambos processos são dependentes entre si. Existe um aumento gradual da intensidade de corrente em função do aumento da velocidade de varredura, provocando um deslocamento de potenciais que é atribuido ao comportamento irreversível do filme. O teste de estabilidade evidencia que o filme ITO-(PAH/PTK) é estável. Portanto, o filme desenvolvido é viável para uma posterior aplicação na determinação de analitos como, por exemplo, metais pesados em matrizes de interesse ambiental.
Agradecimentos
UFPI, CAPES, CNPq e FAPEPI
Referências
CORDES, D.B. et al. Optical glucose detection across the visible spectrum using anionic fluorescent dyes and a viologen quencher in a two-component saccharide sensing system. Org. Biomol. Chem., v. 3, p.1708-1713, 2005.
NAVEENRAJ, S.; RAJ, M. R.; ANANDAN, S. Binding interaction between sérum albumins perylene-3,4,9,10-tetracarboxylate – A spectroscopic investigation. Dyes and Pigments, vol. 94, p. 330-337, 2012.
SANTOS, A. C. et al. Organização supramolecular da ftalocianina de cobalto(II) e seu efeito na oxidação do aminoácido cisteína. Química Nova, v.33, p. 539-546, 2010.
VERCELLI, B.; ZOTTI, G. Alternate monolayer of CdSe nanocrystals and perylene tetracarboxylate: Quantum dot hypersensitization for dye-sensitized cells. Applied materials interfaces, vol. 4, p. 3233-3238, 2012.









