ISBN 978-85-85905-10-1
Área
Ambiental
Autores
Hinojosa Lazo, E.A. (UTFPR-PPGCTA) ; Xavier, C.R. (UTFPR-PPGCTA)
Resumo
A cor e o carbono orgânico total (COT) do efluente do processo Kraft se deve a presença da lignina e outro compostos orgânicos que são difíceis de serem removidos ou biodegradados. Métodos físico químicos, biológicos e avançados têm sido utilizados para a remoção de cor, carbono orgânico total e de outros compostos químicos existentes no efluente kraft. Este trabalho teve como objetivo avaliar a remoção de cor e carbono orgânico total efluente de celulose Kraft não branqueado, mediante o método de adsorção, com carvão ativado da casca de coco e argila a temperatura foram avaliados em parâmetros de pH, massa de adsorvente, em um planejamento experimental 3[2], também foram construídas as isotermas segundo o modelo de Freundlich e Langmuir alem do análise estatístico.
Palavras chaves
Carvão ativado; Argila; Efluente Kraft
Introdução
A contaminação ambiental e a poluição têm se tornado um problema cada vez mais crítico e freqüente na sociedade e no mundo (MOHAI ., 2010). No Brasil, a resolução nº 430 de 2011 do Conselho Nacional de Meio Ambiente (CONAMA), descreve pontualmente os padrões para lançamento de efluentes em corpos receptores. As indústrias de celulose kraft representam uma importante base na economia do Brasil, devido à grande disponibilidade de recursos florestais. Com a crescente produção e o uso de grandes quantidades de água para a lavagem das fibras (em média 60 m3 de água por tonelada de celulose produzida), são gerados grandes volumes de efluentes líquidos (THOMPSON ., 2001; DIEZ , 2007; SIMPLICIO, , 2007). Este trabalho teve como objetivo avaliar a remoção de cor e carbono orgânico total por tratamento terciário de efluente de celulose Kraft por adsorção em carvão e argila.
Material e métodos
Para o desenvolvimento deste trabalho foi utilizado efluente de uma indústria da região de Curitiba que emprega o processo Kraft não branqueado de produção de celulose, foram coletadas amostras do efluente tratado por processo biológico, mas contendo ainda matéria orgânica residual e cor. Estas amostras foram mantidas em recipientes de plástico e armazenadas a 4°C de acordo com o método Nº1060C do (APHA, 1999) na ausência de luz. Para avaliação da remoção de cor e carbono orgânico total (COT) determinou-se: cor verdadeira de acordo com o método padrão Platina Cobalto que se baseia na elaboração da curva analítica e medidos nas absorbâncias em 260 nm. Foi utilizado um espectrofotômetro UV-VIS Cary-50, da Varian. método 2120C do Standard Methods (APHA, 2005) e para o carbono orgânico total (COT), foi necessária a filtração da amostra em membrana de acetato de celulose 0,45 μm. A concentração de carbono orgânico total (COT) corresponde a todo carbono ligado covalentemente a uma molécula orgânica. O COT e medido através da diferença entre carbono total (CT) existente na amostra e carbono inorgânico (CI). O método de dosagem do CT e baseado na combustão catalítica em alta temperatura (aproximadamente 680 ºC). A amostra foi conservada e analisada conforme o método 5310B do (APHA, 2005) método de combustão. Para os ensaios de adsorção foram utilizados carvão ativado de casca de coco e argila a quantidade de massa utilizada do adsorventes foram de 0,5; 1,0 e 1,5g. Os sistemas contendo 3 réplicas foi submetido a agitação a 120 rpm em Shaker, e foi determinado o efeito do pH, temperatura e massa de adsorvente.
Resultado e discussão
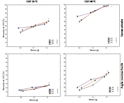
Na Figura 1 são apresentados os gráficos obtidos no processo de adsorção para
remoções de cor em efluente kraft. Na Figura (1b) observa-se que, para a faixa
de 0,5 a 1,5 g os resultados para temperatura utilizada de 40 ºC, em pH 7 usando
1,5g de material, a remoção máxima atingida foi de 94% de cor diminuindo de 840
(Pt-Co mg/L) no efluente biológico para 43 (Pt-Co mg/L) com tratamento de
carvão. De acordo com a literatura, quanto a maior a quantidade de adsorvente e
aumento da temperatura, maior é a eficiência de remoção de cor por adsorção
(VIDELA, MORA, DIEZ, 1999). Na Figura (2b) observa-se que, a remoção de carbono
orgânico total (COT) a temperatura de 40 ºC teve remoção máxima de 98,12% ±1,81
com 1,5 g de carvão e pH 7 e os valores médios obtidos para as remoções de COT
observado por (CHUANG, QINGLIN, KARL, 2001), sendo alcançado 65% de remoção de
COT utilizando carvão ativado que com argila.

Figura 1- Remoção de cor: (a) e (b) com carvão ativado a 25°C e 40ºC, (c) e(d) com argila, obtidos após da adsorção. (*) ponto máximo de remoção.

Figura 2- Remoção de COT: (a) e (b) com carvão ativado a 25°C e 40ºC, (c) e(d) com argila, obtidos após da adsorção. (*) ponto máximo de remoção.
Conclusões
o carvão ativado foi eficiente na remoção de cor em 95% e carbono orgânico total (COT)em 98% para efluente Kraft em pH=7, com massa de 1,5 g a uma temperatura de 40°C, comparado com argila que teve de remoção de cor de 48% e de COT de 55% nas mesmas condições de operação. usando a equação de Freundlich, teve o comportamento favorável ao modelo de Langmuir por seus valores de coeficiente de correlação próximos a 1 o que indica a formação de uma monocamada de adsorbato na superfície do adsorvente e de Freundlich de multicamada, sendo as variaveis temperatura e massa significativas
Agradecimentos
Conselho Nacional de Desenvolvimento Científico e Tecnológico- CNPq Brasil; FUNDAÇÃO ARAUCÁRIA – UTFPR-PPGCTA
Referências
APHA – AMERICAN PUBLIC HEALTH ASSOCIATION in Standard Methods for the Examination Of Water And Wastewater, 19º ed., Washington: American Public Health Association, 1998.
BRASIL, CONSELHO NACIONAL DO MEIO AMBIENTE – CONAMA. Resolução n° 357, Dispõe sobre as condições e padrões de lançamento de efluentes, 2005,
CHUAN; KARL, T., QINGLIN, Z., Adsorption of organic pollutants from effluents of a Kraft pulp mill on activated carbon and polymer resin. Advances in Environmental Research. 3-252-258. 2001
DIEZ, M.C.;RUBILAR, O.; CEA, M.; NAVIA, R.; DE MARTINO, A.; CAPASSO, R., Recovey and characterization of the humate-like salified polymreic organic fraction (lignimerin) from Kraft cellulose mill wastewater. Chemosphere, 68(9), 1978-1805. 2007.
MOHAI, P., SIMOES, S., BRECHIN, S. R.,. Environmental concerns, values and meanings in the Beijing and Detroit metropolitan areas. International Sociology 25 (6), 778–817, 2010.
SIMPLÍCIO A.; AZEVEDO J. C. R.; XAVIER C., 2007. Tratabilidade aeróbica de produtos de degradação de lignina de efluentes de celulose kraft através da respirometria. In: ABTCP-Zellcheming - 40º Congresso e exposição internacional de celulose e papel, São Paulo-SP.
THOMPSON, G.; SWAIN, J.; KAY, M.; FORSTER, C. F., 2001. The treatment of pulp and paper mill effluent: a review. Biosource Technology, 77, 275- 286, 2001.









