ISBN 978-85-85905-15-6
Área
Bioquímica e Biotecnologia
Autores
Gomes, P.H.O. (UFVJM) ; Fidencio, P.H. (UFVJM) ; Vasconcelos, R.A. (IFNMG) ; Silva, M.C. (IFNMG)
Resumo
Durante o processo de obtenção de etanol lignocelulósico é necessário o preparo da biomassa afim de tornar os açúcares na forma de celulose e hemicelulose disponíveis para o processo de fermentação. Este preparo ou pré-tratamento tem a finalidade de modificar a estrutura lignocelulósica liberando moléculas de glicose que poderão ser fermentadas. Neste trabalho buscou-se caracterizar as alterações na estrutura química da biomassa de Torta de Buriti (Mauritia Flexuosa) após tratamento ácido e básico utilizando Espectrocopia no Infravermelho. A ausência de bandas específicas nos espectros possibilitam análises quanto a eficiência dos pré-tratamentos. Os resultados obtidos demonstraram que tais processos alteram a estrutura química da biomassa, possibilitando a disponibilidade de glicose.
Palavras chaves
Buriti; Lignocelulósico; Infravermelho
Introdução
Apesar de combustíveis fósseis representarem a principal fonte de energia da Terra, estudos já evidenciaram o inevitável esgotamento deste recurso natural, assim como os diversos impactos causados pela sua utilização. Sendo assim, o estudo de fontes renováveis de energia, ou seja, proveniente de recursos regenerativos, práticos e que não podem ser esgotados, tornou-se essencial. (SANTOS, 2011) A obtenção de biocombustíveis a partir de materiais lignocelulósico tem atraído diversos pesquisadores e investimentos, devido ao aproveitamento de resíduos que são gerados a partir da da produção de Bioetanol de Segunda Geração ou Bioetanol Lignocelulósico. (RODRIGUES, 2013) A transformação de biomassa em combustível líquido, no caso dos biocombustíveis, como o etanol, é uma fonte de energia renovável e barata quando comparada as energias ligadas às matérias primas fósseis, como o petróleo. Sendo assim, para a produção deste biocombustível, tem-se a possibilidade do uso de frutos nativos do cerrado mineiro, como o Buriti (Mauritia flexuosa), que ainda é pouco estudado e explorado, principalmente como fonte de biocombustíveis. (RODRIGUES, 2013) Segundo Santos (2012), materiais lignocelulósicos podem ser convertidos em bioetanol pelo pré-tratamento enzimático ou solução ácida, que hidrolisa os açúcares complexos e insolúveis em unidades de glicose, que podem, então, ser convertidas em etanol por ação de um agente fermentador. O etanol lignocelulósico pode ser utilizado também como reagente no processo de produção de biodiesel, que pode ser gerado por duas rotas: metílicas e etílicas. Em ambas as rotas são utilizados álcool na presença de uma base forte que atua como catalisadora. (SANTOS, 2011) A obtenção do etanol de segunda geração pode se dar, então, a partir dos resíduos do fruto, sejam eles liberados pelas indústrias que usam seu óleo para fabricação de produtos ou pelos agricultores após uso de seu caldo ou óleo. Estas medidas representam soluções para inibir um problema ambiental resultante do descarte destes resíduos, agregando mais valor aos frutos. (RODRIGUES, 2013; PARENTE, 2003) Um dos problemas apresentado na produção de álcool de Segunda Geração é a fase que deve anteceder à fermentação, classificada como pré-tratamento, em que muitas das vezes encarecem e inviabilizam o processo fermentativo (INOUE et al., 2008). O efeito de um determinado pré-tratamento, seja químico, físico ou bioquímico, deve ser apropriado ao material e à estrutura disponível (SILVA, 2009). Atualmente, o pré-tratamento químico é o mais utilizado, tanto pelo baixo custo relativo e aparelhagem de fácil aquisição (RODRIGUES, 2013). A Celulose é um polímero cristalino formado por unidades de D-Glicose unidas por ligações glicosídicas do tipo β 1→4. Por ser formada apenas por hexoses é o polissacarídeo mais interessante de ser hidrolisado, uma vez que toda a sua matéria pode ser metabolizada pela levedura Saccharomyces cerevisiae, espécie muito utilizada em processos fermentativos. A hemicelulose é um polímero ramificado composto por unidades de hexoses e pentoses, tais como D-xilose, L-arabinose, D-glicose, D-galactose e D-manose. Assim, devido a sua complexidade química, é necessária a utilização de outros microroganismos, além da levedura supracitada, para que toda a hemicelulose seja convertida em etanol. A celulose e a hemicelulose possuem grupos hidroxilas que interagem por ligações de hidrogênio de forma intra e intermolecular. Por outro lado, a lignina é um polímero tridimensional e amorfo formado por unidades de fenólicas, que oferecem proteção estrutural às cadeias de glicose. No entanto, a partir de um pré-tratamento básico é possível a remoção parcial ou total deste material, possibilitando que ácidos ou enzimas específicas hidrolisem os complexos. (RODRIGUES, 2013; OLOFSSON et al., 2008). De acordo com Moretti (2014), a fim de tornar a produção de etanol lignocelulósico viável, vários métodos têm sido investigados, sendo a hidrólise ácida uma delas, seguida pelo tratamento alcalino. O tratamento ácido é feito para romper a estrutura lignocelulósica ao passo que hidrolisa as ligação 1,4-β-glicosidases da celulose, assim como as ligações glicosídicas da hemicelulose, liberando cadeias menores de glicose no meio. Neste estudo buscou-se analisar os efeitos dos pré-tratamentos ácidos e básicos sobre a estrutura química da Torta de Buriti (Mautia Flexuosa) a partir de leituras de espectroscopia no infravermelho (IV). Esta técnica possibilita identificar grupos funcionais específicos, o que proporciona informações sobre a estrutura química de compostos. Desta forma, a partir de alterações nos espectros, obtidos após cada pré-tratamento, é possível caracterizar os efeitos do pré-tratamentos ácidos e básicos sobre a biomassa (MORETTI, 2014; PASTORE, 2008).
Material e métodos
Preparação da biomassa A Torta de Buriti foi obtida junto à Cooperativa Grande Sertão em Montes Claros. O material é coproduto da extração mecânica do óleo. A amostra foi lavada com Éter Etílico até a retirada completa do óleo residual. Após extrair o óleo residual da torta, obteve-se um material classificado como farelo. Sobre este farelo foram realizados os tratamentos e as leituras em Espectrofotômetro de IV. Tratamento Ácido Foram colocados em um Erlenmeyer 25 g de farelo de buriti, 250 mL de uma solução 8% de ácido sulfúrico, em uma razão sólido/líquido de 10%. Este sistema foi colocado em autoclave à 120ºC por 40 min. Em seguida, fez-se a filtragem do material sólido. O sólido residual foi lavado com água até neutralização do material, em seguida foi seco em estufa à 60°C. (RODRIGUES, 2013; SANTOS, 2011) Tratamento Básico Para remoção da lignina presente, colocou-se o farelo obtido do tratamento ácido em 200 mL de uma solução 7,0 % de NaOH, em razão de 10% sólido/líquido em banho com temperatura controlada à 85ºC por 36 horas. Em seguida, filtrou-se o material novamente e lavou até a o pH neutro. A fração sólida foi seca em estudo à 60°C. (RODRIGUES, 2013; SANTOS, 2011) Espectroscopia no IV O preparo de cada amostra antes e após cada tratamento (ácido e básico) foi realizado por meio de prensagem em pastilhas de Brometo de Potássio, KBr, e inseridas no Espectrofotômetro Varian modelo 640 IR (FTIR-ATR)para leitura.
Resultado e discussão
A Fig. 1 apresenta os espectros obtidos para amostras antes e após o tratamento em meio básico e ácido. Devido à complexidade da matriz, os espectros no IV apresentam-se congestionados e com sobreposição de bandas. Mesmo assim, ainda é possível a caracterização de bandas típicas, como por exemplo, a banda na região 3.300 cm-1 atribuída como um estiramento de grupos hidroxilas em interação do tipo ligação de hidrogênio, presente em celulose, hemicelulose e lignina. Além desta, vale destacar a banda na região de 1.000 cm-1 atribuída a estiramentos de ligações glicosídicas (C-O-C) presente em celulose e hemicelulose.
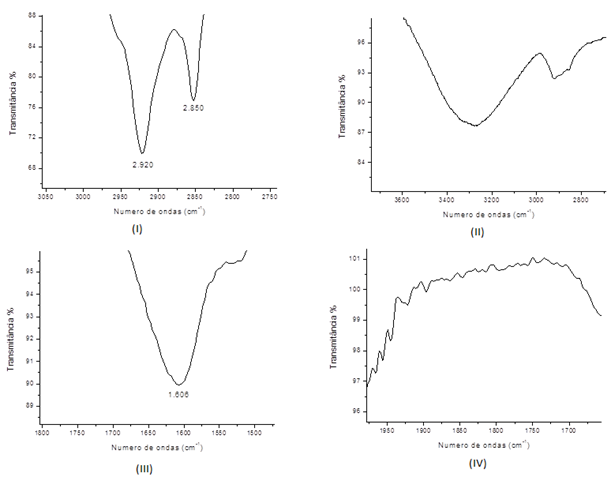
Segundo Moretti et al (2014), algumas curvas podem ser observadas para identificar a presença de grupos característicos dos compostos presentes em biomassas, os quais são representados por bandas na região de 2900 cm-1 resultantes da deformação axial de ligações C-H, que é característico de celulose, hemicelulose e lignina; e uma banda na região de 1600 cm-1, que representam estiramentos típicos de compostos aromáticos. Estas regiões podem ser melhor analisadas tomando os espectros (I - IV) da Fig 2.
No espectro (I) da Fig. 2, é possível observar as duas bandas em 2.920 cm-1 e 2.850 cm-1 já relatadas. Após o tratamento ácido, observa-se o desaparecimento destas bandas. Este comportamento mostra que a estrutura do complexo lignocelulósico foi quebrada e também parte dos polissacarídeos hidrolisados, dentre estes a hemicelulose, que encontra-se mais exposta e portanto, mais vulnerável a sofrer hidrólise, quando comparada a celulose.
No entanto, foi reportado na literatura (RODRIGUES, 2013; SANTOS, 2011), que a lignina é solúvel apenas em meio alcalino, sendo, necessário o tratamento com uma base forte. O efeito deste tratamento pode ser visualizado na alteração da banda 1.606 cm-1 (espectro III da Fig. 2) que aparece nos espectros da amostra sem tratamento e na amostra tratada com ácido diluído. No entanto a mesma não aparece no espectro da amostra pós tratamento básico (espectro IV da Fig. 2).

Espectro Infravermelho: amostra antes dos tratamentos (A), amostra pós tratamento ácido (B) e amostra pós tratamento ácido e básico (C).

Espectros de IV de regiões específicas torta não tratada (I); torta tratada com solução ácida (II e III); torta tratada com solução básica (IV)
Conclusões
O método de Infravermelho, ajuda a caracterizar a composição exata de biomassas, que possibilitou a realização de inferências ao analisar modificações nos espectros das amostras antes e após os tratamentos. Foi possível perceber que o tratamentos químicos (ácido e básico) alteraram a estrutura lignocelulósica da Torta analisada, contribuindo para o processo de sacarificação e fermentação dos carboidrátos disponíveis. Os resultados contribuem para otimização do processo de obtenção de etanol lignocelulósico, demonstrando a eficiência do pré-tratamento químico no processo de hidrólise de polissacarídeos e remoção da lignina.
Agradecimentos
À UFVJM pelo oferecimento do programa de pós-graduação em Biocombustíveis e disponibilização do equipamento utilizado e ao IFNMG – Campus pela bolsa de qualificação.
Referências
INOUE, H.; YANO, S.; ENDO, T.; SAKAKI, T.; SAWAYAMA, S.. Combinig hot compressed water and ball milling pretreatments to improve the efficiency of enzymatic hydrolysis of eucalyptus. Biotechnology for Biofuels. n°1.2. 2008.
MORETTI, Marcia M. de S. et al. Pretreatment of sugarcane bagasse with microwaves irradiation and its effects on the structure and on enzymatic hydrolysis. Applied Energy. N 122. p.: 189 -195. 2014.
OLOFSSON, K., BERTILSSON, M. LÍDEN G. A short review on SSF – an interesting process for ethanol production from lignocellulosic feedstock. Biotechnology for Biofuels. n°1. 7. 2008.
PARENTE, E. J. S. Uma aventura tecnológica num país engraçado. Disponível em: <http//www.iadb.org/intal/intalcdi/PE/2008/01430.pdf> 1°ed, 2003.66p. Acesso em 21 de junho de 2011
PASTORE, Tereza C. M. et al. Efeito do intemperismo artificial em quatro madeiras tropicais monitorado por espectroscopia de infravermelho (DRIFT). Química Nova. vol.31. no.8. São Paulo, 2008.
RABELO, Saria Candida. Avaliação e otimização de pré-tratamento e hidrólise enzimática do bagaço de cana-de-açúcar para a produção de etanol de segunda geração. UNICAMP, Campinas. 2010
RODRIGUES, Plínio Ribeiro. Avaliação dos pré-tratamento ácido e alcalino do endocarpo de buriti (Mauritia flexuosa) com vistas à produção de etanol de segunda geração. 2013. 65 f. Trabalho de Conclusão de Curso - Curso de Bacharelado em Ciência e Tecnologia, Universidade Federal dos Vales do Jequitinhonha e Mucuri, Diamantina. 2013.
SANTOS, Fernando A. ; et all. Potencial da Palha de cana-de-açúcar para produção de etanol. Química Nova, vol 35, nº 5, 1004-1010. 2012.
SANTOS, Hilton T. L. Avaliação para torta de Macaúba como insumo para produção de Bioetanol. 2011. 87 f. Dissertação. Universidade Federal dos Vales do Jequitinhonha e Mucuri, Diamantina, 2013.
SILVA, Vinícius F. Nunes da. Estudos de pré-tratametno e sacarificação enzimática de resíduos agroindustriais como etapas no processo de obtenção de etanol celulósico. Escola de Engenharia de Lorena/USP, Lorena. 2009














