ISBN 978-85-85905-19-4
Área
Ensino de Química
Autores
Xavier, C.R. (UNIVERSIDADE TECNOLÓGICA FEDERAL DO PARANÁ - UTFPR) ; Bellini, E.M. (UNIVERSIDADE TECNOLÓGICO FEDERAL DO PARANÁ)
Resumo
Este trabalho foi realizado em um colégio da Rede Estadual de Ensino do Estado do Paraná, localizado na Região Metropolitana Norte de Curitiba. Foram selecionadas duas turmas do 3º ano do Ensino Médio, cada uma com 46 alunos. O objetivo deste trabalho foi investigar se os conteúdos de funções orgânicas oxigenadas, classificação de cadeia carbônica, hibridização do átomo de carbono e ligações covalentes quando ministrados por meio de um método diferenciado aproxima o aluno de conteúdos de química orgânica. Após observações foi possível constatar uma aproximação mais significativa, por parte dos alunos, com os conteúdos quando comparados a resultados obtidos de turmas de anos anteriores.
Palavras chaves
Ensino; Literatura; Funções Orgânicas
Introdução
Um dos maiores desafios do ensino de Química, nas escolas de nível fundamental e médio, é construir uma ponte entre o conhecimento escolar e o mundo cotidiano dos alunos (VALADARES, 2001). Sendo assim, optou-se por trabalhar o conteúdo de Funções Químicas – Funções Orgânicas Oxigenadas, hibridização do carbono e classificação de cadeias carbônicas por meio de três obras literárias conhecidas: A Bela Adormecida (IRMÃOS GRIM In MACHADO, 2010), A Branca de Neve (IRMÃOS GRIMM In MACHADO, 2010 ) e Romeu e Julieta (Shakespeare,1998), pois as três protagonistas, são colocadas em contato com uma “poção” que as levam a um sono profundo. De acordo com Von Franz (2003), os contos literários falam de aspectos do mundo e do homem e da maneira pela qual se formam os mitos, os sentimentos, as emoções e as questões existenciais envolvidas. Neste caso as obras citadas, relacionam-se por meio da química, sendo possível trabalhar o imaginário dos alunos com o conhecimento de conceitos de química, literatura e botânica. A formação do cidadão conforme dizem Santos e Schnetzler (1996), é um dos objetivos do ensino de química, além de compreender os conhecimentos fundamentais que permitam ao aluno participar da sociedade O conteúdo trabalhado permeia os conhecimentos químicos, que propõe-se, assim com os PCNEM (2002), que se explicite seu caráter dinâmico, multidimensional e histórico. Nesse sentido, o currículo consolidado e, de forma geral, apresentado nos livros didáticos, tradicionais necessita de uma severa leitura crítica, tanto pelos resultados que tem produzido junto aos jovens em sua formação básica (pouca compreensão) quanto pela limitação com que ele é concebido, isto é, como acúmulo de conhecimentos isolados e fossilizados, com questionável papel formador (BRASIL, 1999). Quando analisamos os Livros Didáticos de Química, observamos que as funções orgânicas oxigenadas são trabalhadas teoricamente, com breve contextualização de alguns compostos com o emprego no cotidiano. Buscando uma metodologia diferente para a construção de conhecimento deste conteúdo para alunos 3º ano do Ensino Médio e conhecendo as obras literárias citadas, partimos para um trabalho interdisciplinar entre a literatura e os conceitos químicos. Ao mencionarmos o termo “poções” lembramos imediatamente de mulheres que fazem parte do imaginário humano, as bruxas. Que na realidade, foram herboristas cujo conhecimento era transmitido de geração a geração. Estas mulheres usavam extratos de diversas plantas para desenvolverem suas poções, que nada mais eram que soluções que poderiam ser obtidas a partir dos extratos feitos por elas (ROSALDO E LAMPHERE,1979).
Material e métodos
Este trabalho foi realizado em um colégio da Rede Estadual de Ensino do Estado do Paraná, localizado na Região Metropolitana Norte de Curitiba. Foram selecionadas duas turmas do 3º ano do Ensino Médio, cada turma possui em torno de 46 alunos. Os alunos organizaram-se em grupos de no máximo 8 alunos, escolheram uma das três obras e fizeram a reescrita dos trechos lidos incluindo, na poção, os compostos orgânicos, as funções oxigenadas encontradas nas moléculas e os efeitos causados em cada protagonista. No primeiro momento, fez-se um recorte das obras literárias no instante em cada personagem é colocada em contato com a poção do sono profundo. Julieta foi induzida pelo Frei a tomar uma poção que a colocaria em sono profundo (SHAKESPEARE,1998); a Princesa Aurora de A Bela Adormecida, tem seu dedo espetado em uma roca, cuja agulha está envenenada com uma poção que a coloca em sono profundo (IRMÃOS GRIMM In MACHADO, 2010). A princesa Branca de Neve morde uma maçã, que foi mergulhada, em uma poção que a coloca em sono profundo (IRMÃOS GRIMM In MACHADO, 2010). Em seguida, os alunos assistiram trechos dos filmes em que aparecem as protagonistas sendo expostas à poção do sono profundo. Após os alunos realizaram a leitura de trechos das obras e assistirem recortes dos filmes com o mesmo título das obras citadas, iniciou-se uma aula expositiva onde foram mostradas as moléculas orgânicas que poderiam fazer parte da “poção” do sono profundo (LEQ/UEMS, 2013), e a partir daí, as fórmulas estruturais das moléculas foram trabalhadas e os alunos foram apresentados às funções oxigenadas. Como critério de avaliação foi solicitado a reescrita dos trechos selecionados por cada grupo contendo explicações sobre as funções de cada molécula e ações das mesmas no organismo.
Resultado e discussão
Após discussão realizada junto aos alunos sobre as três obras literárias,
foi repassado aos mesmos a composição da “Poção” do Sono Profundo (LEQ/UEMS,
2013).
Composição Química da “Poção” do Sono Profundo (LEQ/UEMS, 2013):
- Extrato de Flores de Dedaleira (digitoxina e a digoxina);
- Extrato de sapo seco (bufotoxina);
- Extrato de raíz de serpentina (reserpina);
- Óleo de amêndoas.
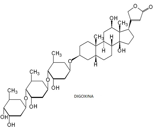
O extrato de dedaleira (Digitalis purpurea L.), possui atividade
cardiotônica descoberta pelo médico inglês William Withering em 1775
(LORENZI e MATOS, 2002). O extrato estabilizado passou a ser utilizados para
o tratamento de doenças cardíacas, principalmente arritmia e insuficiência
congestiva, sendo gradativamente substituídos pela digitalina, uma mistura
de glicosídeos encontrados em suas folhas. Atualmente se usa principalmente
a digitoxina, medicamento estimulante do coração que ainda hoje é obtido de
suas folhas, que depois de estabilizadas, secas e moídas servem para
extração da digitoxina, da digoxina e outros glicosídeos cardioativos, em
alto grau de pureza (LORENZI e MATOS, 2002). A partir das moléculas da
digitoxina e digoxina (Figura 1), foi discutido com os alunos os grupos
funcionais presentes nas moléculas como esteroides, glicosídeos e lactonas.
Geralmente estas funções são comentadas discretamente quando se trabalha
carboidratos. Foi possível abordar com os alunos os conteúdos referentes à
classificação de cadeias carbônicas, hibridização de átomos de carbonos,
funções orgânicas oxigenadas, ligações covalentes e percebeu-se um interesse
mais significativo que o observado em turmas de anos anteriores que não
usaram esta metodologia.
O segundo componente analisado foi o “extrato de sapo seco”. Existem mais de
200 espécies de sapos do gênero Bufo com distribuição mundial. No entanto, o
maior número de espécies ocorre em regiões de clima tropical e úmido como o
Brasil (SAKATE e OLIVEIRA, 2001). Dos sapos secos, obtem-se a Bufotoxina. As
bufotoxinas são uma família de substâncias tóxicas encontradas nas glândulas
parotóides, pele, e veneno de muitos sapos do gênero Bufo, além de outros
anfíbios e algumas plantas e cogumelos. Essa toxina é um veneno que é capaz
de paralisar o coração. É um veneno que tem por característica levar a uma
rápida parada cardíaca, sua molécula também é composta por um sistema
esteroide ligado a um anel de lactona e além disso há também a presença de
uma base nucleotídica denominada guanidina. A partir da fórmula estrutural
da bufotoxina foi possível analisar os grupos funcionais
presentes na moléculas, as hibridizações do carbono e ligações covalentes
(DO CALDEIRÃO AO TUBO DE ENSAIO, 2012).
O extrato de raízes de serpentina é extremamente usado na medicina popular,
e contém vários alcaloides de ação fisiológica e psicotrópica, sendo que o
mais abundante é a reserpina. A reserpina, é um alcaloide indólico, presente
em muitos fármacos e tem ação anti-psicótica e anti-hipertensiva. A fórmula
estrutural possui o grupo “Indol” que causa a diminuição da pressão arterial
até níveis indetectáveis. Assim como nas outras moléculas foram
abordados os conteúdos funções oxigenadas, ligações covalentes,
classificação de cadeias carbônicas e hibridizações do átomo de carbono. Por
sua vez o óleo de amêndoas era usado como eluente para facilitar a
homogeinização dos extratos (DO CALDEIRÃO AO TUBO DE ENSAIO, 2012).
Após o término das discussões e explanação sobre o conteúdo, os alunos
realizaram a reescrita dos trechos das obras literárias citadas (selecionada
anteriormente por cada grupo), onde lê-se “poção do sono profundo”, os
alunos acrescentaram as substâncias, as funções orgânicas e demais conteúdos
trabalhados, as ações de cada molécula no organismo e apresentaram
seminários sobre o que foi discutido.
Como encerramento, se realizou ainda uma última discussão sobre os abusos
cometidos ao longo da idade média denominado de Inquisição. Onde milhares
de mulheres foram acusadas de bruxaria entre os séculos XVI e XVIII. O que
se sabe hoje é que estas mulheres na realidade, não eram bruxas, praticantes
de seitas ocultas, feiticeiras ou curandeiras mas na realidade, boas
herboristas (LEQ/UEMS, 2013). Conhecedoras da manipulação de extratos de
plantas cuja cultura era transmitida de geração a geração. E ainda, foi
discutido sobre o que de fato a junção das moléculas citadas causam no
organismo, ou seja, diminuem batimentos cardíacos, pressão arterial,
diminuindo a respiração fazendo com que, para os parâmetros médicos da
época, constatariam que a pessoa estaria morta.

a)

Digoxina
Conclusões
Após a aplicação deste trabalho, foi observado uma compreensão maior sobre os conteúdos funções orgânicas, cadeia carbônica, hibridização do átomo de carbono e ligações covalentes, quando comparado à turmas de anos anteriores cujos conteúdos foram ministrados de forma tradicional. Esta conclusão foi possível a partir da apresentação dos alunos sobre as obras. Através desta proposta de trabalho, foi possível observar uma aproximação significativa entre os alunos e os conteúdos ministrados .
Agradecimentos
PPGFCET- UNIVERSIDADE TECNOLÓGICA FEDERAL DO PARANÁ – UTFPR e ao Colégio Estadual ZUMBI DOS PALMARES - EFMP
Referências
BRASIL. Ministério da Educação (MEC), Secretaria de Educação Média e Tecnológica (Semtec). Parâmetros Curriculares Nacionais para o Ensino Médio. Brasília: MEC/Semtec, 1999.
_______. Ministério da Educação (MEC), Secretaria de Educação Média e Tecnológica (Semtec). PCN + Ensino médio: orientações educacionais complementares aos Parâmetros Curriculares Nacionais – Ciências da Natureza, Matemática e suas Tecnologias. Brasília: MEC/Semtec, 2002.
LORENZI, H.; MATOS, F.I. Plantas medicinais no Brasil – nativas e exóticas. São Paulo: Instituto Plantarum de estudos da flora LTDA, 2002.
MACHADO, A. M. Contos de fadas: de Perrault, Grimm, Andersen e outros. [tradução de Maria Luiza X. de A. Borges] Rio de Janeiro: Zahar, 2010.
ROSALDO, M.Z., LAMPHERE, L. A mulher, a cultura sociedade. Rio de Janeiro: Paz e Terra, 1979.
SAKATE, M.; OLIVEIRA, P.C.L. Use of lidocain propranolol, amidarone and verapamil in toad envenoming (genus Bufo) in dogs. Journal Venomous Animals and Toxins, v.2, n.7, p.240-259, 2001.
SANTOS, W.; SCHNETZLER, R.P. O que significa ensino de Química para formar o cidadão? Química Nova na Escola, n. 4, p. 28-34, 1996.
SHAKESPEARE, W. Romeu e Julieta. Trad. Beatriz Viéges-Faria, Porto Alegre: L & PM, 1998. (Col. L & PM Pocket,130).
VALADARES, E. C. Propostas de experimentos de baixo custo centradas no aluno e na comunidade. Química Nova na Escola, 13, p. 38-40, 2001
Von Franz, M.L. A interpretação dos contos de fada. (M.E.S. Barbosa, trad.) (4ª edição). São Paulo: Paulus. L, 2003.
Do Caldeirão ao tubo de Ensaio – Blogger (2012). Disponível em <http://do-caldeirao-ao-tubo-de-ensaio.blogspot.com.br/ > acesso em 14 de ago. de 2016.
Laboratório de Ensino de Química (LEQ/UEMS - 2013). Disponível em
<http://lequems.blogspot.com.br/2013/01/curiosidade-as-moleculas-da-bruxaria.html> acesso em 15 de ago. de 2016.











