Síntese de N-acilidrazonas inibidoras seletivas de HDAC6 para o tratamento de hipertensão arterial pulmonar
ISBN 978-85-85905-23-1
Área
Química Orgânica
Autores
Chaves, L.S. (IFRJ - NILOPOLIS) ; Fraga, C.A.M. (UFRJ) ; Rodrigues, D.A. (UFRJ) ; Gomes, R.B. (IFRJ - NILOPOLIS)
Resumo
A hipertensão arterial pulmonar (HAP) é uma doença complexa, sem cura e com poucas opções de tratamento. A HAP possui mecanismos patogênicos semelhantes à de células cancerígenas, desta forma, pode-se explorar estratégias terapêuticas utilizadas no câncer para o tratamento da HAP. A HDAC6 é superexpressa em muitos tipos de câncer e estudos comprovam que derivados N-acilidrazônicos podem ser utilizados para a inibição seletiva de HDAC6. O objetivo deste trabalho foi a inibição seletiva da HDAC6 utilizando derivados de NAH visando o tratamento da HAP. Os compostos foram sintetizados com rendimentos de 70-83% e após a síntese, os mesmos foram enviados para ensaios em modelos de HAP.
Palavras chaves
N-acilidrazonas; HDAC6; HAP
Introdução
A hipertensão arterial pulmonar (HAP) é uma doença potencialmente fatal e com poucas opções de tratamento. A HAP possui mecanismos patogênicos semelhantes à de células cancerígenas, o que permite a exploração de estratégias terapêuticas utilizadas no câncer para o tratamento desta doença. As histonas desacetilases (HDACs) surgiram como alvos-chave para reverter alterações associadas ao câncer, dentre todas as isoformas, a HDAC6 vem ganhando atenção no desenvolvimento de fármacos, uma vez que a sua modulação não é associada com efeitos deletérios, além disso, a HDAC6 é superexpressa em muitos tipos de câncer e os inibidores de HDAC6 apresentaram efeitos benéficos em vários modelos experimentais de câncer que compartilham vários aspectos com a HAP. O objetivo desse trabalho foi realizar a síntese em escala de grama de inibidores seletivos de HDAC6 anteriormente descritos que possuem a subunidade N-acilidrazona, visando o tratamento da HAP.
Material e métodos
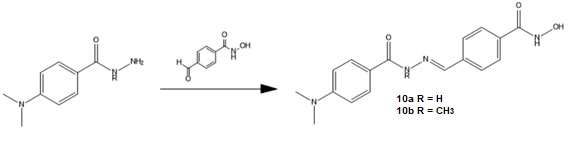
Para a obtenção das N-acilidrazonas, foi necessária a preparação de dois intermediários chave. Para o primeiro intermediário, o grupamento aldeído presente no 4-formilbenzoato de metila (6,09 mmol) foi protegido utilizando-se 2,2-dimetóxi-propano (9,14 mmol) sob catálise ácida (TsOH). Realizou-se, então, a introdução do ácido hidroxâmico a partir da reação com hidroxilamina (48,76 mmol) em condições básicas, em seguida, desprotegeu-se o aldeído usando ácido p-toluenossulfônico (1,53 mmol), obtendo-se o 4-formil-N- hidroxibenzamida em 80% de rendimento após as 3 etapas. As hidrazidas, 4- (dimetilamino)benzoidrazida e 4-(dimetilamino)-N-metil-benzoidrazida, foram obtidas por reação de substituição nucleofílica do 4-aminobenzoato de etila (12,10 mmol) com iodeto de metila (61 mmol) em meio básico para gerar o 4-(dimetilamino)benzoato de etila. Fez-se uma reação de hidrazinólise utilizando hidrato de hidrazina (205,4 mmol), levando, assim, a obtenção da 4- (dimetilamino)benzoidrazida, o segundo intermediário-chave, com 70% de rendimento. Parte desta hidrazida foi submetida a uma reação de proteção do grupamento amino com anidrido ftálico (5,69 mmol), metilação do nitrogênio amídico com iodeto de metila (14,88 mmol) e desproteção utilizando hidrato de hidrazina (7,6 mmol). As N-acilidrazonas, LASSBio-1909 ((E)-4-((2- (4(dimetilamino)benzoil)-2-metilhidrazono)metil)-N-hidroxibenzamida) e LASSBio-1911 ((E)-4-((2-(4(dimetilamino)benzoil)hidrazono)metil)-N- hidroxibenzamida), foram obtidas através da condensação do aldeído com as hidrazidas com rendimentos de 70-83%.
Resultado e discussão
Os compostos foram sintetizados de acordo com os esquemas 1 e 2. Ao fim, 
obteve-se 1000 mg do LASSBio-1909 com rendimento de 70% e 1220 mg do LASSBio-
1911 com rendimento de 83%. Os compostos foram estruturalmente caracterizados 
por ressonância magnética nuclear de hidrogênio e espectrometria de massas e 
tiveram seu grau de pureza determinado por cromatografia líquida de alta 
eficiência. Os espectros de RMN, realizados a 400 MHz, estavam de acordo com 
as estruturas esperadas, sendo possível observar os 20 hidrogênios presentes 
no LASSBio 1909 e os 18 hidrogênios presentes no LASSBio 1911. A análise por 
espectrometria de massas foi bem sucedida, visto que foi possível identificar 
o pico do íon molecular de cada composto, sendo m/z 355,09 do LASSBio 1909 e 
m/z 325,02 do LASSBio 1911. A confirmação de pureza foi verificada através de 
cromatografia líquida de alta eficiência, o composto LASSBio 1909 foi obtido 
com 99,35%, já o LASSBio 1911 foi obtido com 98,28% de pureza.


Conclusões
O objetivo de sintetizar os derivados N-acilidrazônicos foi alcançado com êxito, obtendo-se rendimentos satisfatórios de até 83%. Após a síntese e caracterização, estes compostos foram enviados para ensaio em modelos de HAP.
Agradecimentos
Os autores agradecem à UFRJ e ao CNPq.
Referências
RODRIGUES, D. et al. Design, Synthesis and Pharmacological Evaluation of Novel NAcylhydrazone Derivatives as Potent Histone Deacetylase 6/8 Dual Inhibitors. Journal of Medicinal Chemistry, 2016, 59 (2), pp 655–670. 
ZHAO, L. et al. Histone Deacetylation Inhibition in Pulmonary Hypertension: Therapeutic Potential of Valproic Acid and Suberoylanilide Hydroxamic Acid. Circulation. 2012;126:455-467.




 




