Estudo Visando a Síntese de Tioidantoínas
ISBN 978-85-85905-23-1
Área
Iniciação Científica
Autores
Silva Romão, A.P. (CCET/UEG) ; Borges Costa, M. (CCET/UEG)
Resumo
Nos últimos anos uma característica para a síntese de tioidantoínas é a ausência de solventes, o que vem despertando o interesse de cientistas por apresentar vantagens em relação a métodos convencionais de aquecimento, como a facilidade de purificação, minimização da quantidade de solventes utilizados, a redução do tempo de reação e a apresentação de bons rendimentos e favorecendo os princípios da química verde (HASHMI et al., 2010). Visando a obtenção de novos fármacos, o grupo de pesquisa do LASIMCO, Laboratório de Síntese, Isolamento e Modificação de Compostos Orgânicos (CCET/UEG), vislumbra a aplicação de novas metodologias sintéticas para a obtenção de tioidantoínas N,N-substituídas para posterior avaliação de seu potencial biológico/farmacológico.
Palavras chaves
Síntese; Potencial farmacológico; Tioidantoína
Introdução
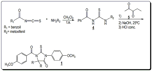
Tioidantoínas 1 são compostos N-heterocíclicos (LÓPEZ; TRIGO, 1985), presentes em várias moléculas bioativas (MIOLO, 2013) que se destacam por possuir atividade biológica variada devido a sua reatividade química e afinidade por biomacromoléculas (OLIVEIRA et al., 2008), como, por exemplo, anti-inflamatória, antiarrítmica, anticâncer, antiviral, anticonvulsivante (HASHMI et al., 2010). A via sintética mais comum para a síntese de tioidantoinas é a condensação de compostos 1,2-difeniletano-1,2-dionas 2 com tioureias 3 (Esquema 1), porém ainda pode-se observar pouca variação de grupos funcionais doadores e retiradores de elétrons, no qual o grupo mais utilizado nos compostos dicetônicos é o grupo benzil e em meio alcalino. Considerando as características e as aplicações terapêuticas dos derivados tioidantoínicos, há a necessidade de um método de síntese rápido, fácil e de baixo custo, a fim de minimizar o tempo reacional e as etapas de reação, e promover um aumento de rendimentos (HASHMI et al., 2010). Uma metodologia muito empregada para a síntese de tioidantoínas, parte do princípio de se usar tioureia como substrato inicial (WANG, et al, 2006), pois as mesmas possuem grande diversidade biológica, tais como anti- helmíntica, antituberculosa, antibacteriana, antidiabética, além de propriedades químicas importantes proporcionando assim uma maior chance de ação farmacológica ao produto da reação (SOUZA, 2010). Portanto, o presente estudo vislumbrou a síntese de tioidantoínas com variação na substituição das dicetonas empregadas de modo a contribuir com as metodologias sintéticas já existentes na literatura, bem como gerar novas tioidantoínas com novos substituintes em sua estrutura para testar a sua avaliação farmacológica.
Material e métodos
A parte experimental foi executada na Universidade Estadual de Goiás(CCET) no Laboratório de Síntese, Isolamento e Modificação de Compostos Orgânicos (LabSIMCO). Os reagentes e solventes P. A. foram utilizados sem purificação prévia. A Cromatografia em Camada Delgada(CCD) foi realizada em placa de alumínio com 0,20 mm de sílica gel 60 com indicador de fluorescência UV254 (Macherey-Nagel). Os espectros de infravermelho foram registrados no espectrômetro Spectrum Frontier(Perkin Elmer). Os espectros de Ressonância Magnética Nuclear (RMN) de Hidrogênio 1H (unidimensional) foram obtidos no Instituto de Química da Universidade Federal de Goiás, no qual usado o espectrômetro Bruker Avance III (500 MHz para RMN 1H, 11,7T), com sondas utilizadas (ATB e SW), 5 mm de diâmetro interno, à temperatura ambiente e com pulso de 45º para hidrogênio e carbono. Os deslocamentos químicos (δ) no RMN 1H e de 13C, com dimetilsulfóxido deuterado, foram referenciados com tetrametilsilano (TMS) e com o resíduo de DMSO (δ 2,49), respectivamente. As multiplicidades foram definidas de modo usual, s (simpleto), d (dupleto), dd (duplo dupleto), t (tripleto), q (quadrupleto), m (multipleto). Metodologia para a obtenção de tioidantoínas: Para a síntese dos compostos desejados aplicou-se a metodologia descrita abaixo (Esquema 2), no qual a síntese das tioureias foi adaptada da metodologia proposta por Cunha e colaboradores (2001).SÍNTESE E CARACTERIZAÇÃO DAS TIOIDANTOÍNAS–PROPOSTA I–Em um balão de fundo redondo com capacidade para 10 mL adicionou-se a 2,3 hexadiona. Em seguida, a tioureia, o hidróxido de sódio (NaOH), sem a presença de solventes. A mistura reacional permaneceu sob agitação a temperatura ambiente por 24h, acompanhada por CCD com eluição em hexano/acetato de etila 20%. Após o término da reação, para o isolamento da reação, adicionou-se 50 mL de água destilada na reação e 0,3 mL de ácido clorídrico (HCl) concentrado. A fase orgânica foi extraída e submetida à extração descontínua com acetato de etila (3X10mL); solução aquosa de NaHCO3 (2x10mL). O composto foi seco e caracterizado por análise espectroscópica. SÍNTESE E CARACTERIZAÇÃO DAS TIOIDANTOÍNAS – PROPOSTA II - Em um balão de fundo redondo com capacidade para 10 mL, sob banho de silicone, adicionou-se a 1,5 mmol da tioureia 4. Em seguida, após a fusão da tioureia foram adicionados, 1 mmol de 2,3-pentadiona e 8 mmol de hidróxido de sódio sem a presença de solventes. A mistura reacional permaneceu sob agitação a 120ºC, acompanhada por CCD com eluição em hexano/acetato de etila 20%, por 5 horas. Após o término da reação, para o isolamento da reação, adicionou-se 50 mL de água destilada na reação e 0,3 mL de ácido clorídrico (HCl) concentrado. A fase orgânica foi extraída e submetida à extração descontínua com acetato de etila (3X10mL); solução aquosa de NaHCO3 (2x10mL).O composto foi seco e caracterizados por análise espectroscópica.
Resultado e discussão
Neste trabalho o foco principal foi o desenvolvimento de uma nova
metodologia para a produção de tioidantoínas, substância esta que possui
propriedades farmacológicas, dentre as quais o poder anticonvulsivante.
A aplicação de 2,3-dicetonas diferentes das descritas em metodologias na
literatura, bem como a variação de substituintes nas tioureias visaram a
avaliação da influência estéreo-eletrônicas destes substituintes nestes
materiais de partida.
Neste estudo, na proposta I, o tempo reacional foi maior do que 24 horas e
análise espectroscópica por ressonância magnética nuclear de carbono
unidimensional (RMN 13C) evidenciou a formação da tioidantoínas, por
apresentar principalmente picos de carbono característicos do carbono
quaternário ligado aos grupos alquil (65,8 ppm). Entretanto, ainda foi
possível notar a presença de matéria-prima mesmo após esse longo período
reacional.
Já a proposta II evidenciou a vantagem de menor tempo reacional, bem como a
fusão da tioureia para auxiliar na homogeneidade dos reagentes no meio
reacional. O rendimento bruto foi de 50% e o produto está sob análise
espectroscópica.
Até o presente momento apenas uma tioureia foi empregada para a síntese de
tioidantoínas. Logo, ainda não se pode justificar o não sucesso das reações
pelo emprego da benzoiltioureia, pois a mesma é reativa frente a outros
substratos e não são impedidas estericamente. O fator em questão pode estar
associado aos grupos 1,2-dicetônicos empregados, pois é descrito na
literatura apenas grupos 1,2-dicetôniocs com grupos fenila como
substituintes.

Esquema representativo da síntese original de tioidantoínas

Proposta atual para síntese de tioidantoínas com aquecimento para fusão da tioureia.
Conclusões
Até o presente momento, estes estudos têm nos mostrado a viabilidade do desenvolvimento de reações sem solventes, em respeito às condições da química verde, principalmente a partir da fusão dos reagentes de partida que mostraram maior viabilidade reacional e menor tempo reacional. Os estudos estão em continuidade para elucidarmos a estrutura obtida e aperfeiçoarmos o método empregado.
Agradecimentos
A UEG pelo apoio e ao auxílio evento; A CAPES pela bolsa concedida; Ao Programa de Concessão de Bolsas de Incentivo ao Pesquisador (ProBIP) 2016.
Referências
CUNHA, S. D.; COSTA, M. B.; NAPOLITANO, H. B.; LARIUCCI, C.; VENCATO, I., Tetrahedron, V. 57, p. 1671-1675, 2001.
HASHMI, I. A.; ASLAM, A.; ALI, S. K.; AHMED, V.; ALI, F. I., Synthesis of hydantoins, thiohydantoins, and glycocyamidines under solvent-free conditions. Synthetic Communications, 2009.
LÓPEZ, C. A.; TRIGO, G. C. The chemistry of hydantoins. Journal of Heterocyclic Chemistry., v.38, p.177-227. 1985.
MIOLO, L. M. F.; Síntese de Tiazolidina-2-tio-hidantoína e seus derivados e estudo de suas propriedades farmacológicas, Universidade Federal do Rio Grande do Sul Departamento de Química Programa de Graduação em Química, 2013.
OLIVEIRA, S. M.; SILVA, J. B., Estrutura, Reatividade e Propriedades Biológicas de Hidantoínas. Química Nova, V.31, P. 614-622, 2008.
SOUZA, S. A. Síntese e Caracterização de Novas Imidazolidinas-2,4-diona e 2-tioxo-4-ona com Potencialidade para Atividade Biológica, Dissertação de Mestrado Universidade federal da Paraíba, 2010.









