Desenvolvimento de sensor eletroquímico de baixo custo à base de um eletrodo modificado com filme de polianilina para determinação de testosterona
ISBN 978-85-85905-23-1
Área
Físico-Química
Autores
Oliveira, T.P. (UFPI) ; Santiago, J.L.M. (UFPI) ; Melo, S.M. (FACID) ; Santos Júnior, J.R. (UFPI) ; Ferreira, N.S. (UFPI) ; Nunes, M.S. (UFPI)
Resumo
Este trabalho teve como objetivo avaliar o desenvolvimento de um sensor eletroquímico de baixo custo a partir da modificação de superfície de um eletrodo de ouro com filme de polianilina (PANI), empregando-se a técnica eletroquímica de voltametria cíclica. Após a otimização das condições experimentais de preparo, o eletrodo resultante apresentou dois pares de processos redox nos voltamogramas em torno de 0,4 e 0,7 V que foram elucidados através de um mecanismo de reações proposto. A análise por espectroscopia de impedância eletroquímica proporcionou a caracterização das interações do eletrodo modificado em contato com as soluções de testosterona.Assim, a metodologia utilizada apresentou vantagens importantes, podendo vir a se tornar um método alternativo de teste antidoping.
Palavras chaves
sensor eletroquímico; testosterona; polianilina
Introdução
A testosterona, assim como seus derivados, pertence ao grupo de hormônios esteroides androgênicos, podendo ser secretada pelos testículos, córtex das glândulas adrenais e também em pequenas quantidades pelos ovários nas mulheres. Este hormônio possui diversas aplicações médicas para os humanos, como na terapia de reposição hormonal, efeito anticonceptivo, prevenção da osteoporose, e também no tratamento de câncer (GEBARA et al, 2002). Apesar das diversas vantagens de aplicação, o uso abusivo dessa substância como anabolizante, visando o aumento da performance muscular e cultivo do aspecto físico, foi proibido no esporte pelo Comitê Olímpico Internacional, desde 1950, pois foram relatados inúmeros efeitos colaterais adversos, citando-se danos cardiovasculares, hematológicos, endocrinológicos, entre outros (JI et al, 2017; LOWINSOHN e BERTOTTI, 2006). Em vista desses efeitos, o controle dos níveis de testosterona em humanos, principalmente em atletas de alta performance, é realizado, recebendo a denominação de testes antidoping. Os testes antidopings, entretanto, empregam metodologias de análise que atualmente apresentam algumas dificuldades a serem superadas, como o elevado custo, além de certa morosidade, pouca sensibilidade e altas habilidades técnicas, o que desperta a necessidade do desenvolvimento de novos métodos analíticos sensíveis e rápidos para a detecção desse andrógeno (MÉITÉ et al, 2016). Devido à sua simplicidade, rapidez de análise e baixo custo operacional, as técnicas eletroquímicas surgem como métodos alternativos (MOURA et al, 2014). O objetivo deste trabalho foi a construção de um sensor eletroquímico para a detecção de testosterona, tendo como base a modificação de um eletrodo de ouro com polianilina.
Material e métodos
Inicialmente, o eletrodo de ouro foi confeccionado em laboratório segundo a metodologia apresentada em MELO, S. M. (2016). Posteriormente, antes de cada análise, o eletrodo de ouro foi submetido a uma limpeza eletroquímica com ácido sulfúrico 0,05 mol/L, aplicada a uma faixa de potencial de varredura de -0,2 a +1,55 V; com uma velocidade de 0,25 V/s; a fim de se obter uma superfície do eletrodo livre de interferentes, bem como o conhecimento de sua área, sendo que todos os eletrodos apresentaram aproximadamente 0,03 cm2. Após a limpeza química, procedeu-se com a polimerização eletroquímica, resultando na deposição direta de um filme de polianilina (PANI) sobre a superfície do eletrodo a partir da técnica de Voltametria Cíclica (VC), utilizando-se de um sistema eletroquímico AUTOLAB PGSTAT302N. Estudos de VC foram feitos para avaliar o crescimento de filmes de polianilina na superfície do eletrodo de ouro construído, variando três fatores: a concentração das soluções de anilina (0,1; 0,5 e 1,0 mmol/L); as velocidades de varreduras (25; 50 e 100 mV/s) e o número de varreduras (10; 20 e 30 ciclos) durante a eletropolimerização da anilina com potenciais inicial e de vértice inferior de 0,00 V e potencial de vértice superior de +0,8 V. O desempenho dos eletrodos modificados foi avaliado através do estudo do comportamento eletroquímico destes eletrodos frente aplicação em amostras na detecção de diferentes concentrações do analito em questão. Além das caracterizações por VC, a Espectroscopia de Impedância Eletroquímica (EIE) também foi utilizada para caracterizar as propriedades das interfaces de superfícies dos eletrodos modificados que ficaram em contato com as soluções mais diluídas de testosterona para detecção.
Resultado e discussão
A melhor condição para deposição da PANI através da técnica de voltametria
cíclica em solução de ácido sulfúrico 0,05 mol/L (pH = 0,96) foi definida
com o eletrodo de ouro estando em contato com solução ácida de anilina 0,5
mmol/L a uma velocidade de varredura de 50 mV/s, com janela de potencial de
0,0 V a +0,8 V, totalizando 30 ciclos. A partir dos voltamogramas conferiu-
se a ocorrência de dois processos redox distintos. O primeiro par redox é
referente à conversão dos estados de composição da PANI da base
leucoesmeraldina reduzida à esmeraldina oxidada de forma parcial, conforme
ilustrado na Figura 1-A. Já o segundo par redox é associado à conversão do
estado esmeraldina para pernigranilina totalmente oxidada. Em seguida, o
eletrodo modificado em contato com soluções que continham testosterona
(Figura 1-B) mostrou-se sensível ao analito, exibindo dois picos em 0,27 V e
0,60 V, picos de redução e oxidação da testosterona, respectivamente. No
estudo do processo redox da testosterona no eletrodo modificado, por meio da
diferença entre os potenciais de pico (ΔEpico = Epa-Epc) de 0,34 V, e a
razão entre as correntes de pico anódico e pico catódico (Ipa/Ipc) de 0,80
apresentadas neste VC, o processo redox foi classificado como sendo quase-
reversível. Pelas presenças dos picos, indica-se que um radical aniônico é
formado pelo grupo carbonila (C=O) presente na estrutura do esteroide.Ao se
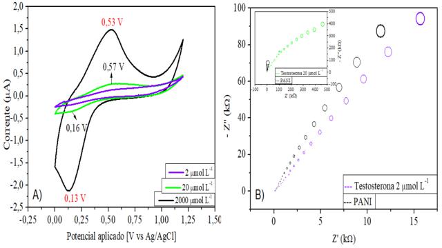
colocar o eletrodo modificado para detecção de testosterona em concentrações
mais diluídas (Figura 2-A), nota-se que uma há uma redução nos picos, sendo
que para solução de 2 µmol/L não foi possível a identificação destes.
Através da análise de impedância, comprovou-se que o eletrodo sofre um
efeito de isolamento nessas condições. Logo, mais estudos deverão ser feitos
para o método.

Voltamogramas cíclicos obtidos para o eletrodo de ouro sem modificação e com polianilina em contato com soluções de testosterona.

Voltamogramas para análise em diferentes concentrações de testosterona e impedância eletroquímica para estudo do caso.
Conclusões
Com base na proposta deste trabalho, um eletrodo de ouro foi confeccionado em laboratório e modificado superficialmente pela eletrossíntese de um filme PANI por meio da técnica de Voltametria Cíclica, visando o uso como sensor eletroquímico para detecção de testosterona. O método exposto pode vir a ser uma metodologia alternativa para a detecção de testosterona, porém, ainda são necessários aprimoramentos e novas avaliações para melhor caracterização do eletrodo, bem como a elucidação dos mecanismos de transferência eletrônica.
Agradecimentos
À CAPES, Grupo Bioeletroquímica, Laboratório de Microscopia Eletrônica de Varredura (MEV) do Instituto Federal do Piauí (IFPI), e à UFPI.
Referências
GEBARA, O. C. E.; VIEIRA, N. W.; MEYER, J. W.; CALICH, A. L. G.; TAI, E. J.; PIERRI, H., WAJNGARTEN, M., ALDRIGHI, J. M. Efeitos cardiovasculares da testosterona. Arquivos Brasileiros de Cardiologia, São Paulo, v. 79, n. 6, p. 644-649, 2002.
JI, D.; LIU, L.; LI, S.; CHEN, C.; LU, Y.; WU, J.; LIU, Q. Smartphone-based cyclic voltammetry system with graphene modified screen printed electrodes for glucose detection. Biosensors and Bioelectronics, v.98, p.449-456, 2017.
LOWINSOHN, D.; BERTOTTI, M. Sensores eletroquímicos: considerações sobre mecanismos de funcionamento e aplicações no monitoramento de espécies químicas em ambientes microscópicos. Quím. Nova, São Paulo, v.29, n.6, p.1318-1325, dez. 2006.
MÉITÉ, L; SORO, B. D.; ABOUA, N. K.; MAMBO, V. TRAORÉ, K. S.; MAZELLIER, P.; LAAT, J. Qualitative determination of photodegradation products of progesterone and testosterone in aqueous solution. American Journal of Analytical Chemistry, v.7, p.22-33, 2016.
MOURA, S. L.; MORAES, R. R.; SANTOS, M. A. P.; PIVIDORI, M. I.; LOPES, J. A. D.; MOREIRA, D. L.; ZUCOLOTTO, V.; SANTOS JÚNIOR, J. R. S. Electrochemical detection in vitro and electron transfer mechanism of testosterone using a modified electrode with a cobalt oxide film. Sensors and Actuators B, n.202, p.469-474, 2014.









