A química das plantas que curam: uma contribuição para o resgate, valorização e preservação dos conhecimentos tradicionais.
- Home
- Trabalhos
ÁREA
Ensino de Química
Autores
Gama, C.S. (UEA) ; Perreira, D.S. (UEA) ; Eleutério, C.M.S. (UEA)
RESUMO
Este estudo é resultado de um Projeto Extensão que envolveu alunos, professores e pessoas (raizeiros) que há anos utilizam raízes de ervas e outros tipos de plantas para a elaboração de medicamentos alternativos, prática comum nas comunidades tradicionais da Amazônia. Em decorrência desse fato, trouxemos para o contexto da escola e da academia a contextualização dessa prática para que a população mais jovem pudesse compreender que o conhecimento científico é corroborado pelos saberes tradicionais. Para isso, foi elaborado uma cartilha contendo a fitoquímica de algumas espécies, potencial terapêutico e preparo. Além disso, foram oferecidas oficinas de desenho usando o software free Chemsketch que permitiu desenhar algumas moléculas presentes em ervas de conhecimento desse público.
Palavras Chaves
Plantas Medicinais; Ensino de Química; Saberes Tradicionais
Introdução
Durante muito tempo as informações sobre o conhecimento tradicional que envolve o uso de plantas para a cura de doenças foram mantidas pela tradição oral. Os antigos, os idosos, as pessoas das comunidades tradicionais, narradores desses saberes, corroboram que as plantas medicinais têm um papel muito importante na saúde dessas populações. Através da divulgação do potencial fitoterápico das plantas, de estudos, rodas de conversas, projetos sociais, escolares e universitários está sendo possível resgatar os sabres que envolvem a medicina popular. De acordo com Carvalho (2004), a inclusão da fitoterapia das plantas, demanda abordagens educativas que permitem criar espaços de socialização e valorização dos saberes tradicionais. O decreto nº 5.813, de 22 de junho de 2006 que instituiu a Política Nacional de Plantas Medicinais e Fitoterápicos (2006) e a Portaria nº 971, de 03 de maio de 2006, do Ministério da Saúde (MS) que aprovou a Política Nacional de Práticas Integrativas e Complementares (PNPIC) no Sistema Único de Saúde (SUS), tem fortalecido a preservação do conhecimento tradicional no território brasileiro. Na cidade de Parintins-AM por exemplo, o conhecimento sobre plantas medicinais é quase desconhecido pela população mais jovem. Esse fato nos estimulou a desenvolver este Projeto de Extensão que contou com a parceria de raizeiros e pessoas de comunidades rurais e do entorno da UEA e que dominavam o conhecimento e o preparo de chás, compressas, banhos, xaropes, bochecho, gargarejo etc. Essa dinâmica possibilitou trazer para o contexto da escola e da academia, conhecimentos relacionados com a fitoquímica e com as atividades terapêuticas das plantas medicinais mais utilizadas pelos remanescentes detentores desse conhecimento.
Material e métodos
Este estudo atende os pressupostos do Plano de Desenvolvimento Institucional da Universidade do Estado do Amazonas – UEA (2017-2021) que destaca a importância da extensão universitária para a sociedade. O estudo foi amparado na abordagem dialética e etnográfica que de acordo com Mattos (2011), contribuem com as pesquisas qualitativas; preocupam-se com a análise holística ou dialética da cultura, isto é, a cultura não é vista como um mero reflexo de forças estruturais da sociedade, mas como um sistema de significados mediadores entre as estruturas sociais e as ações e interações humanas. As atividades foram desenvolvidas em duas escolas de educação básica e no Laboratório de Educação Química e Saberes Primevos - LEQSP, localizado no Centro de Estudos Superiores de Parintins. Na 1ª e 2ª fase foram aplicados questionários para diagnosticar o perfil da comunidade escolar, ajustar as atividades propostas no projeto de extensão, sensibilizar e contextualizar os alunos através do documentário “Plantas medicinais brasileiras: um saber ameaçado” (https://www.youtube.com). A 3ª fase foi desenvolvida no espaço acadêmico a partir de uma “roda de conversa” com os raizeiros vindo das comunidades rurais e apresentação das plantas medicinais cultivadas no horto da escola e no LEQSP que serviram para tecer diálogos entre o conhecimento tradicional e o científico através da oficina de desenho usando o software free Chemsketch. Na 4ª fase foi elaborada a cartilha com orientações sobre as plantas medicinais contempladas no projeto e que possibilitou mostrar a relação entre os saberes tradicionais e os conhecimentos adquiridos na escola e na academia, numa perspectiva etnográfica e dialética. Os resultados foram contextualizados nas escolas e na Semana Nacional de Ciência e Tecnologia.
Resultado e discussão
Este estudo foi de fundamental importância para a valorização e preservação
dos sabres tradicionais que envolvem o cultivo, o preparo e as
potencialidades fitoterápicas das plantas medicinais. A grande maioria dos
medicamentos, disponíveis no mundo, é ou foi originado de estudos
desenvolvidos a partir da cultura popular (BRASIL, 2006). Essa informação
foi corroborada pela apresentação do documentário “Plantas medicinais
brasileiras: um saber ameaçado” que se constituiu em uma das atividades de
sensibilização e contextualização desses saberes. No documentário foi
destacado que os conhecimentos tradicionais estão associados à
biodiversidade brasileira, que a rica medicina popular é resultado da
missegenação de diferentes culturas, herdada em grande parte das populações
indígenas. O projeto possibilitou o desenvolvimento de atividades na escola
e na acadêmica. A “roda de conversa” com os raizeiros vindos das comunidades
rurais ocorreu no LEQSP e serviu para tecer diálogos entre o conhecimento
tradicional e o científico a partir de plantas conhecidas e que possuem
potencial fitoterápico como por exemplo, a chicória (Eryngium foetidum ),
usada como tempero na preparação de certos alimentos (Figura 1):
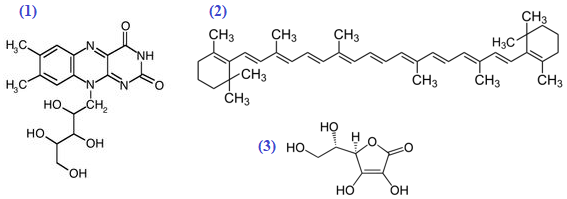
Para realizar a oficina de desenho, buscamos informações sobre a composição
química da chicória que de acordo com Campos (2014) estão presentes: cálcio,
ferro, riboflavina, carotenoides, vitaminas A, B e C e óleo essencial. A
partir dessa informação foram desenhadas através do software free Chemsketch
apenas a estrutura da riboflavina (1), carotenóides (2) e do ácido ascórbico
(Figura 2):
Por fim, o estudo foi concluído com a apresentação de uma cartilha contendo
orientações sobre as plantas medicinais cultivadas na escola e na academia.


Conclusões
Este estudo evidenciou que a extensão universitária é uma ponte de diálogo entre os conhecimentos adquiridos na academia e os saberes advindos de diferentes contextos. Nesta experiência, o diálogo se efetivou a partir da troca de conhecimentos e da contextualização das plantas medicinais, resultados que reforçam a necessidade da universidade se pautar no princípio de indissociabilidade que envolve o ensino, a pesquisa e a extensão. Continuar com a política de incentivo de projetos que contribuam com a socialização e democratização do conhecimento é papel de todas as instituições de ensino.
Agradecimentos
Às escolas, alunos e pessoas (raizeiros) das comunidades rurais que contribuíram com este estudo.
Referências
BRASIL. Decreto nº 5.813, de 22 de junho de 2006. Aprova a Política Nacional de Plantas Medicinais e Fitoterápicos e dá outras providências. D.O.U. DE 23/06/2006, p. 2, Brasília: DF, 23 de junho de 2006.
BRASIL. Política nacional de plantas medicinais e fitoterápicos. Ministério da Saúde, Secretaria de Ciência, Tecnologia e Insumos Estratégicos, Departamento de Assistência Farmacêutica. Brasília: DF, Ministério da Saúde, 2006. 60 p. (Série B. Textos Básicos de Saúde).
BRASIL. Portaria nº 971, de 03 de maio de 2006. Aprova a Política Nacional de Práticas Integrativas e Complementares (PNPIC) no Sistema Único de Saúde. Ministério da Saúde, Brasilia: DF, 2006.
CAMPOS, R. A. S. Produtividade, compostos bioativos e atividade antioxidante em Eryngium foetidum L. Tese (doutorado), Universidade Estadual Paulista, Faculdade de Ciências Agronômicas, Campus de Botucatu. Botucatu: SP, abril, 2014.
CARVALHO, S. R. Os Múltiplos Sentidos da Categoria "empowerment" no Projeto de Promoção à Saúde. Caderno de Saúde Pública, Rio de Janeiro, 20, 2004. P. 1088-1095.
MATTOS, C. L. G. A abordagem etnográfica na investigação científica. In MATTOS, C. L. G.; CASTRO, P. A. (Orgs). Etnografia e educação: conceitos e usos [online]. Campina Grande: EDUEPB, 2011.
PLANTAS MEDICINAIS BRASILEIRAS: um saber ameaçado. Núcleo de Produção de Vídeo CEDECOM UFMG. Documentário disponível em: https://www.youtube.com. Acessado: 15/09/2019.
UNIVERSIDADE DO ESTADO DO AMAZONAS. Plano de Desenvolvimento Institucional – PDI 2017-2021. UEA Edições, maio de 2017.