ÁREA
Química Ambiental
Autores
Oliveira, J. (UNIVERSIDADE FEDERAL DE VIÇOSA) ; Suarez, W. (UNIVERSIDADE FEDERAL DE VIÇOSA)
RESUMO
Neste estudo, é apresentado o desenvolvimento de um sensor colorimétrico para a determinação de Cu(II) em amostras de água e cachaça empregando um dispositivo microfluídico baseado em fio de algodão modificado com cuprizona e carboximetilcelulose, utilizando um smartphone como detector. O método desenvolvido permite a quantificação de cobre na faixa de 1 a 12 mg L-1, com um baixo limite de detecção de 0,21 mg L-1.
Palavras Chaves
Dispositivo microfluídico; Fio de algodão; Cobre
Introdução
O cobre é um micronutriente essencial para funções humanas vitais, porém, seu desequilíbrio pode acarretar em problemas gastrointestinais, hepáticos e renais, bem como distúrbios como Alzheimer, Parkinson e doença de Wilson (BISAGLIA; BUBACCO, 2020; KEPP; SQUITTI, 2019; UNITED STATES, 2005). A exposição excessiva ao cobre é frequentemente devido a ingestão de água e alimentos contaminados (ATSDR, 2022), inclusive por bebidas alcoólicas, como a cachaça (FRANCO et al., 2021). Regulamentações variam entre países, como o limite de 2,0 mg L-1 na água potável na União Europeia (COUNCIL, 2020) e Brasil (BRASIL, 2021) , enquanto nos Estados Unidos esse limite é de 1,3 mg L-1 (UNITED STATES, 2018). No Brasil, especificamente, a cachaça não deve exceder a concentração de 5,0 mg L-1 (BRASIL, 2005). No campo das tecnologias microfluídicas, destaca-se o Microfluidic Thread-based Analytical Device (μTAD), uma plataforma que pode ser facilmente construída a partir de fios de algodão. Essa abordagem possibilita análises portáteis e rápidas, permitem várias etapas em um único dispositivo (MANZ; GRABER; WIDMER, 1990; SACKMANN; FULTON; BEEBE, 2014), útil em emergências ou áreas remotas. Além disso, o emprego de smartphone para capturar e processar imagens digitais, a fim de realizar análise quantitativa do analito, contribui para a acessibilidade dessa abordagem. Nesse trabalho, a técnica empregada para construção do μTAD baseou-se na reação de complexação do Cu(II) com cuprizona, resultando em um produto de coloração azul intensa no fio. Esse produto é pré-concentrado na região de interesse (ROI) devido à presença de carboximetilcelulose no fio. O dispositivo (Figura 1) demonstrou ser preciso e eficaz na detecção de cobre em uma ampla faixa de concentração.
Material e métodos
O μTAD é um dispositivo analítico desenvolvido usando uma fita adesiva dupla face como área hidrofóbica fixada a uma folha de papel. Fios tratados e cortados de 5 cm de comprimento foram esticados e fixados na fita, com um ponto fixo desenhado a 3 cm de uma extremidade como referência para a região de interesse (ROI). Nessa ROI, foram depositados 0,1 microlitros de reagente cromógeno (cuprizona a 2 g/L em uma solução de 60% v/v etanol/água), seguido por 15 microlitros de suspensão de carboximetilcelulose (CMC) a 1% (m/v). Após secagem, adicionou-se 5 microlitros de solução tampão (pH 8) à porta amostra. Para usar o dispositivo, 20 microlitros de solução padrão/amostra são adicionados à porta amostra. Devido à capilaridade, a solução flui pelo fio, resultando na formação quase instantânea de cor azul na ROI devido à reação de complexação entre o Cu(II) presente na amostra e o reagente cuprizona. Para análise quantitativa, imagem do μTAD é capturada com um smartphone. A imagem é analisada em termos de coordenadas de cores RGB por meio de um aplicativo Color Grab.
Resultado e discussão
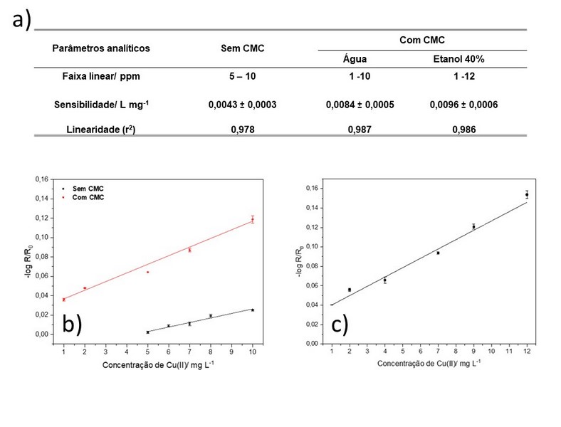
O desempenho do sensor na detecção de íons Cu(II) (em água) foi avaliado com e
sem a adição de CMC no μTAD. O μTAD com pré-concentração também foi calibrado em
solução alcoólica (40% etanol). As curvas analíticas obtidas (Figura 2b e 2c)
demonstraram uma relação linear entre a intensidade do canal R (-log R/R0) e a
concentração de íons cúpricos (mg L-1). Os parâmetros analíticos estão descritos
da Figura 2a.
A adição de CMC ao μTAD teve impactos significativos. A curva analítica
apresentou maior linearidade com a presença de CMC e um aumento na
sensibilidade. Esse efeito é resultado da interação entre o complexo Cu-CPZ
formado e a CMC presente na ROI, que imobiliza esse quelato, resultando em maior
intensidade e uniformidade da coloração azul na fibra de algodão para uma mesma
concentração de Cu(II). Por outro lado, no caso sem CMC, o complexo é arrastado
pelo fluxo amostral, diminuindo a intensidade no fio. Além disso, é notável que
a pré-concentração proporcionou uma faixa de trabalho mais ampla para o método.
Foram estimados os valores de limite de detecção (LD) e limite de quantificação
(LQ) do método µTAD com pré-concentração para a determinação de Cu(II) em água e
em matriz alcoólica. Para água, o LD foi 0,23 mg L-1 e LQ 0,78 mg L-1; na matriz
alcoólica, LD foi 0,21 mg L-1 e LQ 0,69 mg L-1. A precisão foi avaliada por
repetibilidade, resultando em desvio padrão relativo de 4,56% (água) e 5,49%
(álcool) para 5,0 mg L-1 de Cu(II).
Os ensaios de recuperação em água e cachaça, enriquecidos com Cu(II), exibiram
recuperação entre 84,9%-107% para água e 88,5%-105% para cachaça, demostrando a
boa exatidão do método.

Fotografia e arranjo estrutural detalhado do μTAD \r\nconstruído para detecção de Cu(II).

(a) Parâmetros analíticos. E curva analítica (b) \r\npara amostras de água utilizando o µTAD com e sem \r\nCMC e (b) em matriz alcoólica com CMC.
Conclusões
A construção do sensor microfluídico, utilizando fio de algodão como substrato e CMC para a pré-concentração do complexo azul formado, revelou-se altamente apropriada para a determinação quantitativa de cobre em amostras de água e cachaça. Uma vez que, esse proporciona analises rápidas (apenas 10 minutos), com baixo consumo de amostra (20 µL), e garante boa precisão e exatidão, sem requerer instrumentação de alto custo.
Agradecimentos
A Universidade Federal de Viçosa, ao Programa de Pós-graduação em Agroquímica, a Coordenação de Aperfeiçoamento de Pessoal de Nível Superior (CAPES) e a Fundação de Amparo à Pesquisa do Estado de Minas Gerais(FAPEMIG-APQ-01889-21)
Referências
ATSDR. Toxicological profile for copper. Public Health, n. April, p. 314, 2022. Disponível em: https://www.atsdr.cdc.gov/toxprofiles/tp132.pdf.
BISAGLIA, Marco; BUBACCO, Luigi. Copper Ions and Parkinson’s Disease: Why Is Homeostasis So Relevant? Biomolecules, v. 10, n. 2, p. 195, 2020. Disponível em: https://www.mdpi.com/2218-273X/10/2/195.
BRASIL, MINISTÉRIO DA AGRICULTURA, Pecuária e do Abastecimento. Instrução normativa no 13, de 29 de junho de 2005. Aprova o Regulamento Técnico para Fixação dos Padrões de Identidade e Qualidade para Aguardente de Cana e para Cachaça. Diário oficial da união, p. Seção 1, n. 124., 2005.
BRASIL. MINISTÉRIO DA SAÚDE. PORTARIA GM/MS No 888, DE 4 DE MAIO DE 2021. Diário Oficial da União, n. Seção 1, p. 2001, 2021. Disponível em: https://www.in.gov.br/web/dou/-/portaria-n-339-de-28-de-junho-de-2021-328538616.
COUNCIL, O F T H E. DIRECTIVE (EU) 2020/2184 OF THE EUROPEAN PARLIAMENT AND OF THE COUNCIL of 16 December 2020 on the quality of water intended for human consumption (recast). v. 2019, n. November 1998, p. 1–62, 2020.
FRANCO, Mathews de Oliveira Krambeck et al. Microanalysis based on paper device functionalized with cuprizone to determine Cu2+ in sugar cane spirits using a smartphone. Spectrochimica Acta Part A: Molecular and Biomolecular Spectroscopy, v. 253, p. 119580, 2021. Disponível em: https://linkinghub.elsevier.com/retrieve/pii/S1386142521001566.
KEPP, Kasper P.; SQUITTI, Rosanna. Copper imbalance in Alzheimer’s disease: Convergence of the chemistry and the clinic. Coordination Chemistry Reviews, v. 397, p. 168–187, 2019. Disponível em: https://linkinghub.elsevier.com/retrieve/pii/S0010854519301675.
MANZ, A.; GRABER, N.; WIDMER, H. M. Miniaturized total chemical analysis systems: A novel concept for chemical sensing. Sensors and Actuators: B. Chemical, 1990.
SACKMANN, Eric K.; FULTON, Anna L.; BEEBE, David J. The present and future role of microfluidics in biomedical research. 2014.
UNITED STATES, Environmental Protection Agency. Drinking Water Standards and Health Advisories. In: ENVIRONMENTAL PROTECTION. 2018.
UNITED STATES ENVIRONMENTAL PROTECTION AGENCY. Lead and Copper Rule: A Quick Reference Guide for Schools and Child Care Facilities that are Regulated Under the Safe Drinking Water Act. p. 1–5, 2005. Disponível em: https://nepis.epa.gov/Exe/ZyPDF.cgi?Dockey=P10058C5.txt.











